• 部门概况
  • 新闻中心
    • 通知公告
    • 新闻动态
  • 规章制度
  • 学生资助
  • 创业青春
  • 健康教育
  • 下载中心
  • 安全保卫
  • 搜索
  • 网站首页
  • 部门概况
  • 新闻中心
    • 通知公告
    • 新闻动态
    • 进入栏目 »
  • 规章制度
  • 学生资助
  • 创业青春
  • 健康教育
  • 下载中心
  • 安全保卫
  • 廉政清风
  • 团学支部党建
  • 学工宝典
游客,您好!马上登录
  1. 首页
  2. 新闻中心
  3. 通知公告
  4. 详情页
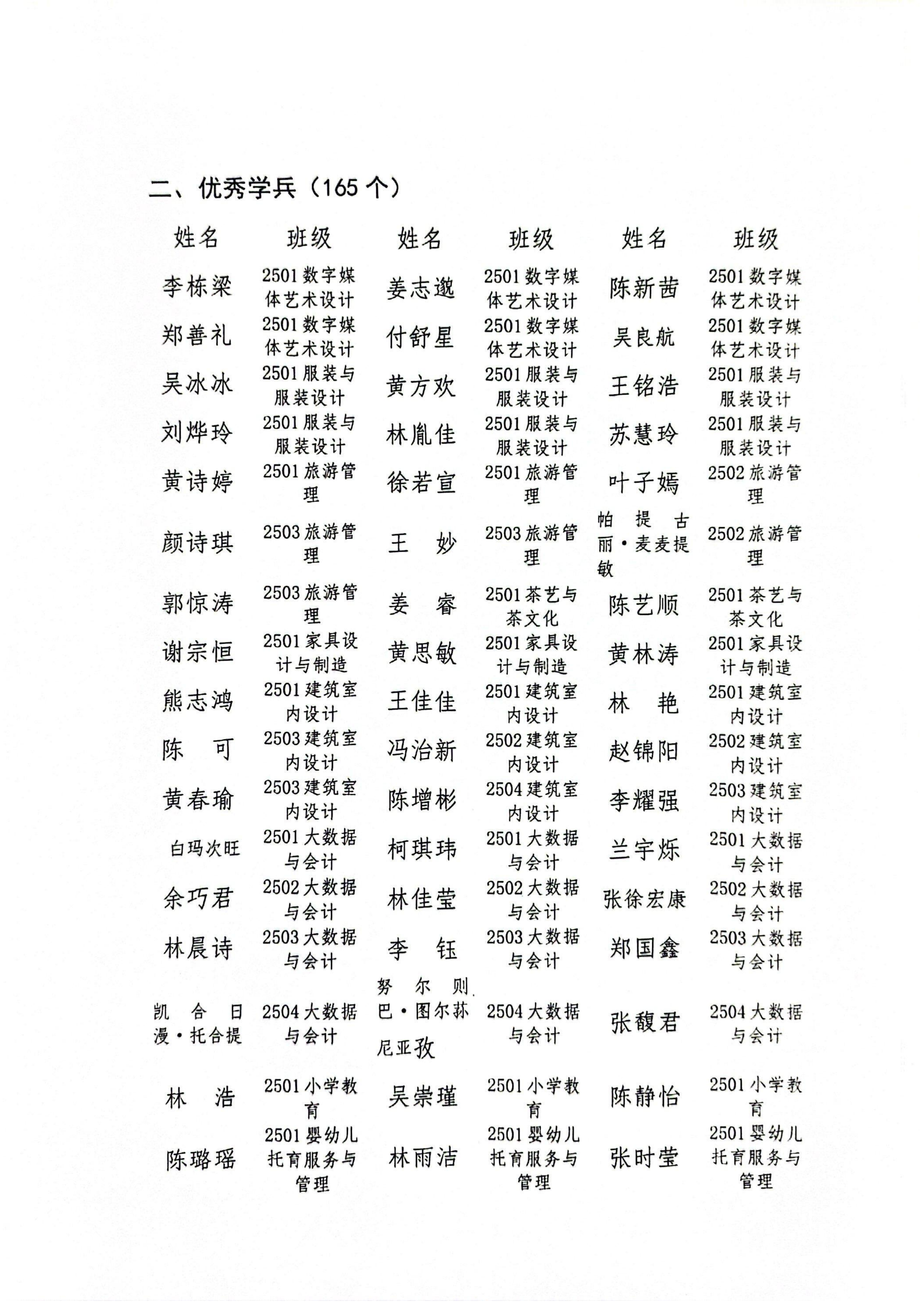
闽北职业技术学院关于表彰2025级新生军训先进集体和先进个人的决定
来源:学工处 发布日期:2025-10-29 浏览:257次





上一条:关于在校大学生购买优惠火车票的通知 下一条:关于2025年高职国家奖学金、国家励志奖学金推荐获奖名单的公示

相关栏目

  • 新闻中心

  • 通知公告

  • 新闻动态

推荐文章

  • 关于在校大学生购买优惠火车票的通知

  • 欢迎参与 | 闽北职业技术学院辅导员工作压力心理自测

  • ♥ ♥ 学院大学生勤工助学岗位在线申请通道 ♥ ♥

  • 心理健康 | 淬炼心育本领 护航青春成长——我校成功举办2025年辅导员心理健康教育专题培训

  • 喜报 | 我校在福建省第七届中华经典诵写讲大赛中斩获多项殊荣,美育育人成果再添新证

  • 深耕心育阵地 护航青春成长——我校中职部组织开展学生心理健康专题教育活动

CopyRight © 闽北职业技术学院学生工作处 备案号:闽ICP备2021006528号 技术支持:网络信息中心

搜一搜,更方便